링크 : https://www.acmicpc.net/problem/1991
1991번: 트리 순회
첫째 줄에는 이진 트리의 노드의 개수 N(1 ≤ N ≤ 26)이 주어진다. 둘째 줄부터 N개의 줄에 걸쳐 각 노드와 그의 왼쪽 자식 노드, 오른쪽 자식 노드가 주어진다. 노드의 이름은 A부터 차례대로 알파
www.acmicpc.net
문제 설명 :
이진 트리를 입력받아 전위 순회(preorder traversal), 중위 순회(inorder traversal), 후위 순회(postorder traversal)한 결과를 출력하는 프로그램을 작성하시오.

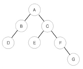
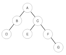
예를 들어 위와 같은 이진 트리가 입력되면,
- 전위 순회한 결과 : ABDCEFG // (루트) (왼쪽 자식) (오른쪽 자식)
- 중위 순회한 결과 : DBAECFG // (왼쪽 자식) (루트) (오른쪽 자식)
- 후위 순회한 결과 : DBEGFCA // (왼쪽 자식) (오른쪽 자식) (루트)
가 된다.
입력 :
첫째 줄에는 이진 트리의 노드의 개수 N(1 ≤ N ≤ 26)이 주어진다. 둘째 줄부터 N개의 줄에 걸쳐 각 노드와 그의 왼쪽 자식 노드, 오른쪽 자식 노드가 주어진다. 노드의 이름은 A부터 차례대로 알파벳 대문자로 매겨지며, 항상 A가 루트 노드가 된다. 자식 노드가 없는 경우에는 .으로 표현한다.
출력 :
첫째 줄에 전위 순회, 둘째 줄에 중위 순회, 셋째 줄에 후위 순회한 결과를 출력한다. 각 줄에 N개의 알파벳을 공백 없이 출력하면 된다.
예제 입력 :
7
A B C
B D .
C E F
E . .
F . G
D . .
G . .
예제 출력 :
ABDCEFG
DBAECFG
DBEGFCA
접근법 :
1) 어떻게 풀 것인가?
2) 시간복잡도
3) 공간복잡도
4) 풀면서 놓쳤던점
5) 이 문제를 통해 얻어갈 것
C++ 코드 :
// 트리순회 1991 C++
#if 1
#pragma warning(disable:4996)
#include <cstdio>
#include <vector>
#define MAX (26)
using namespace std;
typedef struct st{
char left;
char right;
}node;
node tree[MAX];
int N;
void input();
void preOrder(char nodeId);
void centerOrder(char nodeId);
void postOrder(char nodeId);
int main() {
// 1. 입력받음
//freopen("input.txt", "r", stdin);
input();
preOrder('A');
printf("\n");
centerOrder('A');
printf("\n");
postOrder('A');
return 0;
}
void input() {
scanf("%d", &N);
char root, left, right;
for (int i = 0; i < N; i++) {
scanf(" %c %c %c", &root, &left, &right);
tree[root - 'A'].left = left;
tree[root - 'A'].right = right;
}
}
// 전위 순회
void preOrder(char nodeId) {
// root - left - right
if (nodeId == '.') return;
printf("%c", nodeId);
preOrder(tree[nodeId-'A'].left);
preOrder(tree[nodeId-'A'].right);
}
// 중위 순회
void centerOrder(char nodeId) {
// left - root - right
if (nodeId == '.') return;
centerOrder(tree[nodeId-'A'].left);
printf("%c", nodeId);
centerOrder(tree[nodeId - 'A'].right);
}
// 후위 순회
void postOrder(char nodeId) {
// left - right - root
if (nodeId == '.') return;
postOrder(tree[nodeId - 'A'].left);
postOrder(tree[nodeId - 'A'].right);
printf("%c", nodeId);
}
#endif'알고리즘 Algorithm > BOJ 백준 (초급~중급)' 카테고리의 다른 글
| [BOJ 백준] 트리인가?(6416) C++ (0) | 2023.01.10 |
|---|---|
| [BOJ 백준] 괄호의 값(2504) C++ (0) | 2023.01.10 |
| [BOJ 백준] 집배원 한상덕(2842) C++ (0) | 2023.01.10 |
| [BOJ 백준] 게임(1072) C++ (0) | 2023.01.09 |
| [BOJ 백준] 큐(10845) C++, Java (0) | 2023.01.09 |